找回密码
 立即注册
搜索
热搜: 游戏 软件 稀有
Close

实时小喇叭+ 发布

svip8888 好论坛!
07-25 01:07
yiwan8各位才子,注册的时候,验证码不出现,多刷新几次,就有了!
04-26 18:04
yiwan8二贴目前还没内容 都在1贴发布 1贴满了 在2贴续!
02-10 20:01
神秘人:福利游戏二贴帖子的密码在哪看
02-10 01:39
神秘人:回复发帖都有金,贡献右上角可兑换积累,也可积极发帖
01-20 11:53
查看: 171|回复: 0

MPA 管理类联考综合能力(满分200分) ‌数学基础(75分) 学习记录

[复制链接]
  • TA的每日心情
    擦汗
    2025-7-9 21:50
  • 签到天数: 18 天

    连续签到: 1 天

    [LV.4]偶尔看看III

    升级   100%

    1513

    主题

    48

    回帖

    4万

    积分

    管理员

    积分
    40711
    发表于 2025-8-16 23:19:22 | 显示全部楼层 |阅读模式
    MPA 管理类联考综合能力(满分200分) ‌数学基础(75分) 学习记录

    MPA(公共管理硕士)考试科目包括管理类联考综合能力(含数学、逻辑、写作)和英语二两大部分,总分为300分。

    ‌考试科目详解‌

    ‌1. 管理类联考综合能力(满分200分)‌
    ‌数学基础(75分)‌:考查初等数学知识(算术、代数、几何、数据分析等),题型为选择题,难度相当于高中水平,侧重运算和逻辑推理能力。‌‌
    ‌逻辑推理(60分)‌:30道选择题,考察信息分析、判断和推理能力,不涉及专业逻辑学知识。‌‌
    ‌写作(65分)‌:包括论证有效性分析(600字,30分)和论说文(700字,35分),重点考查批判性思维与文字表达能力。‌‌


    ‌2. 英语二(满分100分)‌
    ‌完形填空(10分)‌:考查词汇和语法应用。‌‌
    ‌阅读理解(50分)‌:含多篇短文及新题型(如七选五),测试信息获取与分析能力。‌‌
    ‌翻译(15分)‌:英译汉段落,要求准确通顺。‌‌
    ‌写作(25分)‌:一篇应用文(如通知)和一篇议论文,考察语言组织能力。‌‌

    ‌复试内容(院校自主命题)‌
    部分院校可能增加以下环节:
    ‌专业素养笔试‌:公共管理相关理论与实践。‌‌
    ‌综合素质面试‌:评估工作经验、沟通能力等。‌‌
    ‌思想政治理论‌:考察政策理解与马克思主义理论应用。‌‌

    ‌报考条件‌
    需满足以下之一:
    本科毕业满3年;
    专科毕业满5年;
    硕士/博士毕业满2年。‌‌



    学习要点
    数学基础(75分)‌:考查初等数学知识(算术、代数、几何、数据分析等),题型为选择题,难度相当于高中水平,侧重运算和逻辑推理能力。‌‌


    ·
    1充分 2不充分 选A
    1不充分 2充分 选B
    1不充分 2不充分 12联合充分 选C
    1充分 2充分 选D
    1不充分 2不充分 12联合不充分 选E


    ·
    360截图20250819215909522.jpg


    ·
    十字相乘  
    2*3 = 6
    -1 *4 = -4
    2*4 + -1*3 = 5


    ·
    C联合 找交集


    ·
    慎选C    不可能同时 大于且等于3   
    基本都为大于3 或 等于3   
    大部分为或    且  要看命题


    ·
    1.jpg



    ~
    一串数字化简
    质数 合数
    绝对值



    ~
    20以内质数
    2 3 5 7 11 13 17 19



    ~
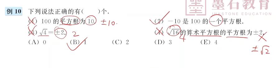
    根号
    360截图20250910210325213.jpg


    360截图20250910211139590.jpg



    ~
    整除
    360截图20250910211618314.jpg


    ~
    倍数 约数
    1.jpg

    1.jpg



    嫌弃网盘下载速度慢
    游戏打不开,记得看不要在中文文件夹内

    在这开百度网盘会员,有大折扣!最高便宜26.32元!
    http://www.yiwan8.com/forum.php?mod=viewthread&tid=6

    更多好东西,稀有资源
    http://www.yiwan8.com/forum.php?mod=forumdisplay&fid=14

    可将网盘链接下载地址 转成译文 进行解密加密的工具 贴内喵语均用此工具解密 喵呼转译
    http://miao.yiwan8.com/
    [发帖际遇]: yiwan8 发帖时在路边捡到 1 金钱,偷偷放进了口袋. 幸运榜 / 衰神榜
    我的稀有资源地址
    http://www.yiwan8.com/forum.php?mod=forumdisplay&fid=14
    懒得打字嘛,点击右侧快捷回复 【右侧内容,后台自定义】
    您需要登录后才可以回帖 登录 | 立即注册

    本版积分规则

    
    快速回复 返回顶部 返回列表